Intro and Basics Part 2
Just the Facts
DOFPro Team

Can we estimate \(\mu - \bar{x}\) yet?
Not yet, but \(S\) is the key!
As a reminder 68% of the points in a normal distribution lie within \(±\sigma\) of \(\mu\), i.e., from \(\mu-\sigma\) to \(\mu+\sigma\).
Standard Error and Estimated Standard Error
\(\mathrm{St.\ Err.}=\sigma_\mu=\frac{\sigma}{\sqrt{N}}\approx\frac{S}{\sqrt{N}}\)
\(\mathrm{Est.\ St.\ Err.}=S_\bar{x}=\frac{S}{\sqrt{N}}\)
For enough points, \(\mu=\bar{x} \pm S_{\bar{x}}(68\%\ \mathrm{conf.})\)
For example, \(y=42.000 \pm0.007(68\%\ \mathrm{conf.})\)

Harald Bischoff, CC BY-SA 3.0
link, via Wikimedia Commons

User Wujaszek on pl.wikipedia,
Public domain, via Wikimedia Commons
Calculate \(\bar{x}\) and \(S\).
Calculate \(S_{\bar{x}}\).
Choose a confidence level,
for example, \(95\%\) or \(p = 0.05\).
Find \(t\) given \(p\) and \(df = N - 1\).
Then \(\lambda = tS_{\bar{x}}\)
and \(\mu = \bar{x} \pm \lambda(1- p\ \mathrm{ conf.})\)
For example, \(x = 42.000 \pm 0.067(95\%\ \mathrm{conf.})\)
So \(\lambda\) is 1/2 the width of the confidence interval and the confidence interval width is \(2\lambda\).

For example, \(\bar{x}\) is \(42.000 \pm 0.067\) with 95% confidence.
\(\lambda = tS_{\bar{x}}=\frac{tS}{\sqrt{N}}\)

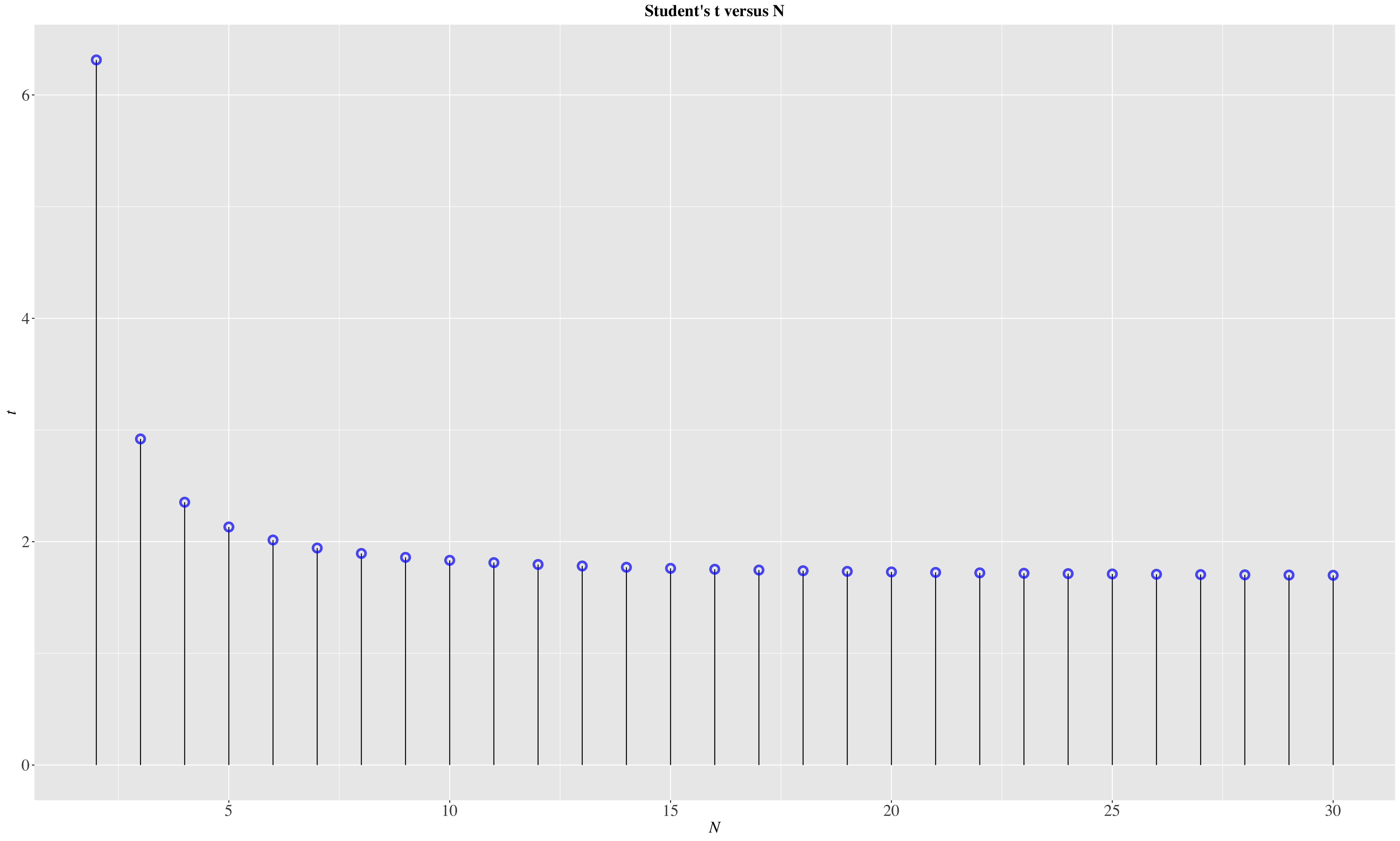
Student’s \(t\) as a Function of \(N\)
\(\lambda = tS_{\bar{x}}=\frac{tS}{\sqrt{N}}\)

Normalized Conf. Int., \(\lambda/S\) as a Function of \(N\)
\(\ \ \ \)
\(\ \ \ \)
There are four additional videos showing how to perform these calculations by hand, with a spreadsheet, using Python and NumPy/SciPy, and using R.
Thanks for watching!
The Full Story companion video is in the link in the upper left. The first of the How To videos is in the upper right. To learn more about Chemical and Thermal Processes, visit the website linked in the description to find previous and following videos in this series.
The DOFPro Team

